PRODUCT CENTER
产品中心

首页 / 产品中心 / 水凝胶 / 聚丙烯酸钠

聚丙烯酸钠

聚丙烯酸钠是一种新型功能高分子材料和重要化工产品,固态产品为白色(或浅黄色)块状或粉末,液态产品为无色(或淡黄色)粘稠液体。溶解于冷水、温水、甘油、丙二醇等介质中,对温度变化稳定,具有固定金属离子的作用,能阻止金属离子对产品的消极作用,是一种具有多种特殊性能的表面活性剂。


主要用途:
医药品(医药品添加剂):外用贴膏基材,软膏的增稠等;
化妆品(外用医药品原料):面膜基材,护肤霜膏和化妆水等的增稠
杂货:冷却座垫基材
工业用途:乳胶、乳液及涂料的增稠
食品:作为增稠剂、分散剂、表面胶冻剂等






产品详情 规格参数 售后保障

中文名聚丙烯酸钠

外文名:Sodium polyacrylate

分子式:(C3H3NaO2)n

CAS号:9003-04-7

外观:白色粉末

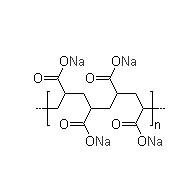
结构式:

 

贮存:存放于干燥通风的库房内,避免阳光直射,轻堆轻放。

包装:20kg/袋。

1、新产品研发、旧产品技术改造
2、免费上门培训、上机指导
3、后期技术工艺问题免费咨询
暂无上一篇 下一篇:赋形剂
相关新闻 Related News